arrow_back
arrow_forward
Class Contents
We can also use this to reprove the differentiability of power series.
Proof.
Now we can use the results with uniform convergence to construct some interesting functions:
- a nowhere differentiable function
- a space-filling curve
Proof.
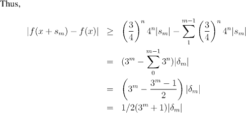
A nowhere differentiable function
But, one of the following holds:

Space-filling Curves