Analysis
WebNotes
home
Home
local_library
Chapters
directions
Directions
school
Homework
people
Community
arrow_back
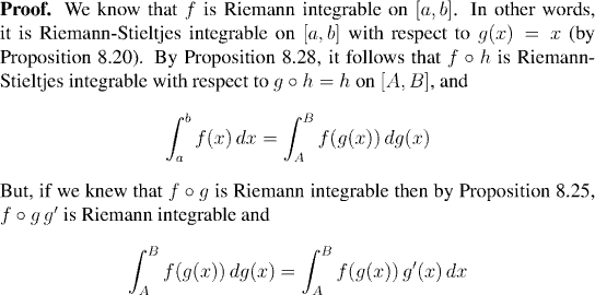
This follows from the following simple factoid.
Factoid:
References:
Proposition 8.20
|
Proposition 8.25
|
Proposition 8.28