Analysis
WebNotes
home
Home
local_library
Chapters
directions
Directions
school
Homework
people
Community
arrow_back
arrow_forward
Class Contents
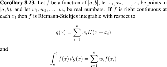
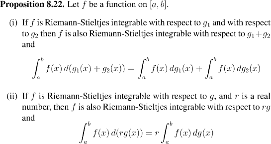
Riemann-Stieltjes integration
Riemann-Stieltjes Integration
Proof.
Proof.
Proof.
Remark:
You can think of the weight function
g(x)
as being given by the formula:
The weights
w
i
appear very naturally in the following picture of the graph of
g(x)
: