Analysis
WebNotes
home
Home
local_library
Chapters
directions
Directions
school
Homework
people
Community
arrow_back
References:
Proposition 8.19
|
Proposition 8.20
|
Mean Value Theorem
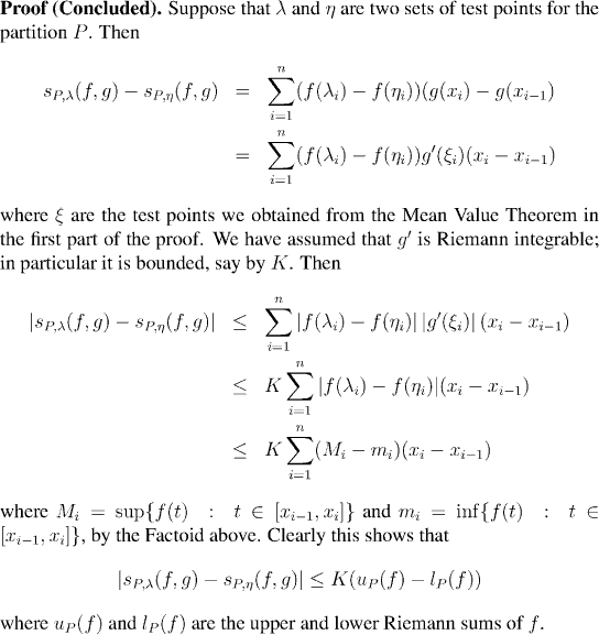
The key to concluding this proposition is the following factoid:
Factoid:
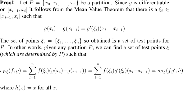
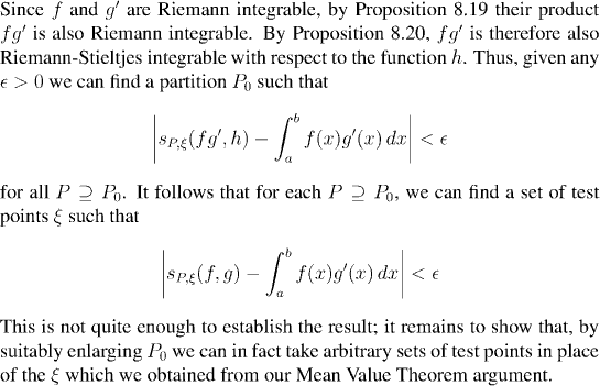
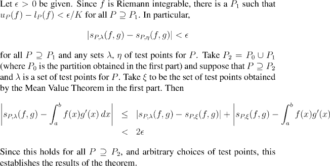
Proof.