Analysis
WebNotes
home
Home
local_library
Chapters
directions
Directions
school
Homework
people
Community
arrow_back
Solutions to Analysis Lab 02
Question: 1
Answer:
Question: 2
Answer:
Question: 3
Answer:
Question: 4
Answer:
Question: 5
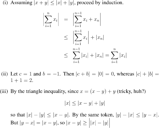
Answer:
Question: 6
Answer: