Analysis
WebNotes
home
Home
local_library
Chapters
directions
Directions
school
Homework
people
Community
arrow_back
Solutions to Exercises 05
Question: 1
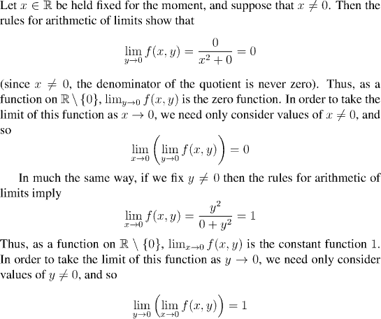
Answer:
Question: 2
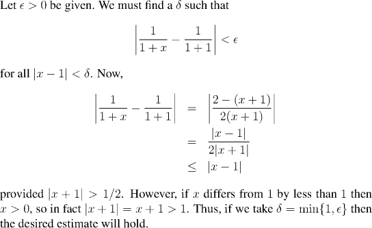
Answer:
Question: 3
Answer:
Question: 4
Answer: