Analysis
WebNotes
home
Home
local_library
Chapters
directions
Directions
school
Homework
people
Community
arrow_back
Solutions to Exercises 03
Question: 1
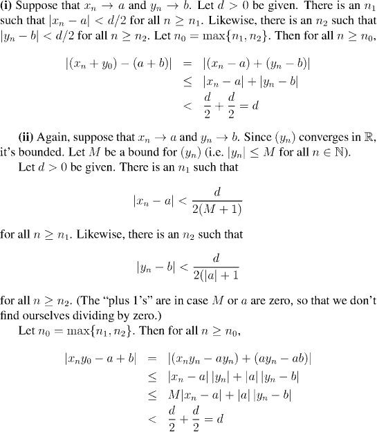
Answer:
Question: 2
Answer:
Question: 3
Answer:
Question: 4
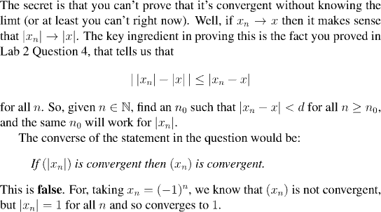
Answer: