Analysis
WebNotes
home
Home
local_library
Chapters
directions
Directions
school
Homework
people
Community
arrow_back
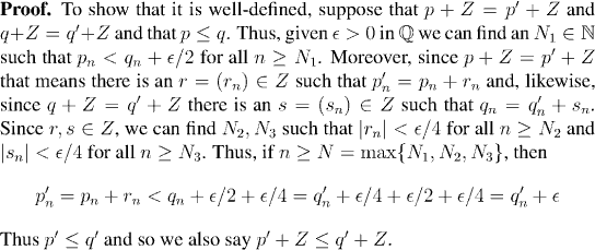
Proof.