Analysis
WebNotes
home
Home
local_library
Chapters
directions
Directions
school
Homework
people
Community
arrow_back
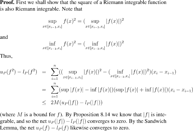
Remark:
The proof uses a clever trick, to reach the product of two different functions via the square of an arbitrary function.