Analysis
WebNotes
home
Home
local_library
Chapters
directions
Directions
school
Homework
people
Community
arrow_back
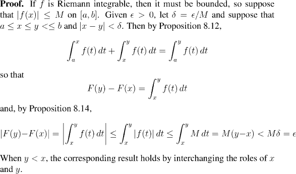
Remark:
Note that the proof actually establishes that $F$ is uniformly continuous. However, this does not need special note in the statement, since
any
continuous function on a closed bounded interval is uniformly continuous.