Analysis WebNotes
arrow_back
This means that if we were to start at any point N and add up the positive terms after that point in order, then the partial sums would be unbounded above. Likewise if we added up the negative terms following N in order then the sequence of partial sums would be unbounded below.
Question: What happens if the very first term is already greater than a?

Question: How do we know that the sum ever reaches values greater than a?

Question: How do we know that the point k1 is ever reached?

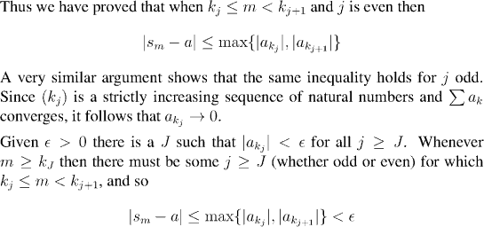
It remains to put this all together and show that the partial sums sm converge to a.
Question: Try to prove this. (The simple properties of the absolute value function may help.)