Analysis WebNotes
arrow_back

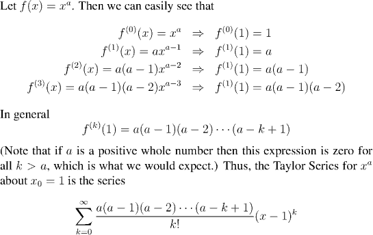
Remark:
Of course this argument in no way proves that xa is equal to this series. All it establishes is that this is the only power series which xa could possibly be equal to. But this gives us something concrete to work with when proving that the two are equal.

Return to the example