Analysis WebNotes
arrow_back
Theorem 7.9 says that the derivative of a power series is itself another power series. Reasonably enough, one of the things we have to be sure of is that this new power series converges in the same region as the original one. We shall prove this in a separate lemma:

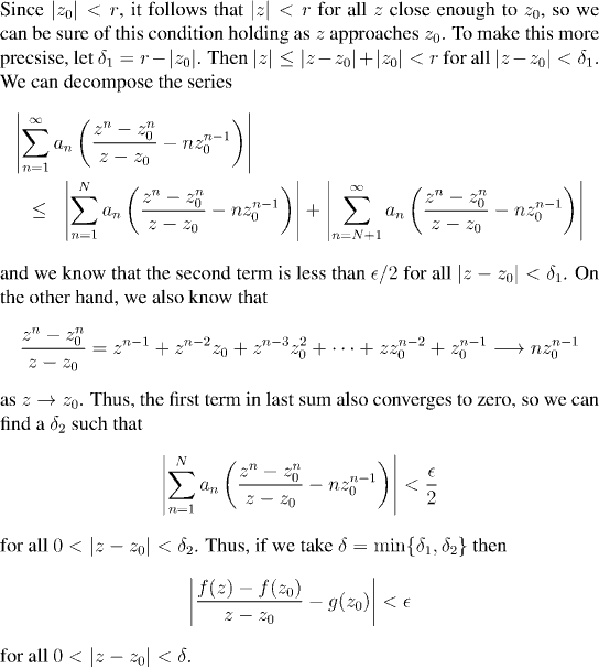
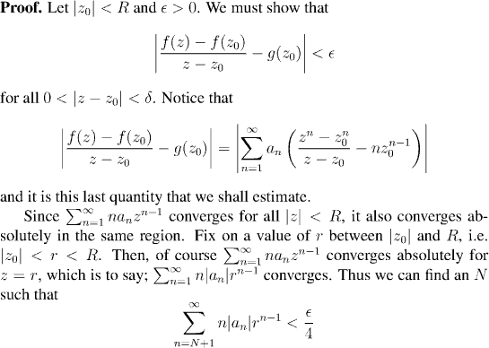
Proof of Lemma 7.12