Analysis
WebNotes
home
Home
local_library
Chapters
directions
Directions
school
Homework
people
Community
arrow_back
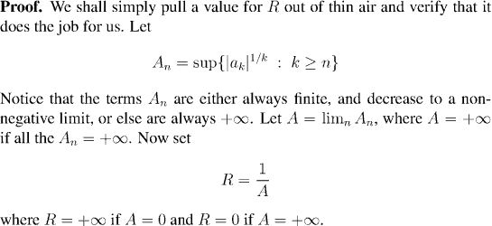
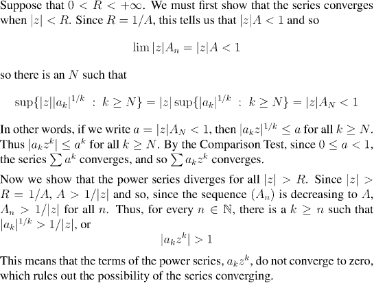
Remark:
The cases when
R
is zero or infinite are dealt with separately in the
homework
.
Remark: