Analysis WebNotes
arrow_back

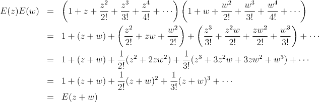
Why should we expect E(z)E(w)=E(z+w)?

If we could just treat series exactly like finite sums then we could multiply the two power series together, term by term, and then group all the terms with the same total powers of z's and w's together:

Question: What are the problems with the argument above?