Analysis WebNotes
arrow_back The statement:

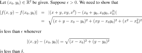
Example:

is continuous means:

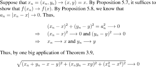
This is really daunting to do directly. Unlike the last example, we don't have an approach to this which simplifies the direct approach. But we can see an alternative way of doing it:

This idea (separating the variables x and y and then putting them into the function one at a time (using the arithmetic of convergence results)) is going to be the key to a systematic method for proving continuity in Euclidean spaces.