Analysis WebNotes
arrow_back

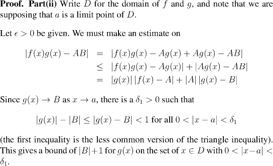
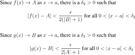
We're only going to prove part (ii) here. The reason is that the next theorem ( Proposition 4.2) enables us to use results about convergence of sequences ( Theorem 3.9) to give quick proofs of all three parts of this theorem. On the other hand, it is a useful exercise to go through this proof and see how the definitions of limits get used.