Analysis
WebNotes
home
Home
local_library
Chapters
directions
Directions
school
Homework
people
Community
arrow_back
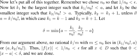
Example:
Go back to the main page.