Analysis
WebNotes
home
Home
local_library
Chapters
directions
Directions
school
Homework
people
Community
arrow_back
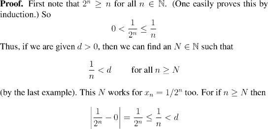
Example:
Let
x_n=1/2^n
. Then
(x_n)
converges to zero.